培训信息
当前位置: 首页 >> 培训信息 >> 正文

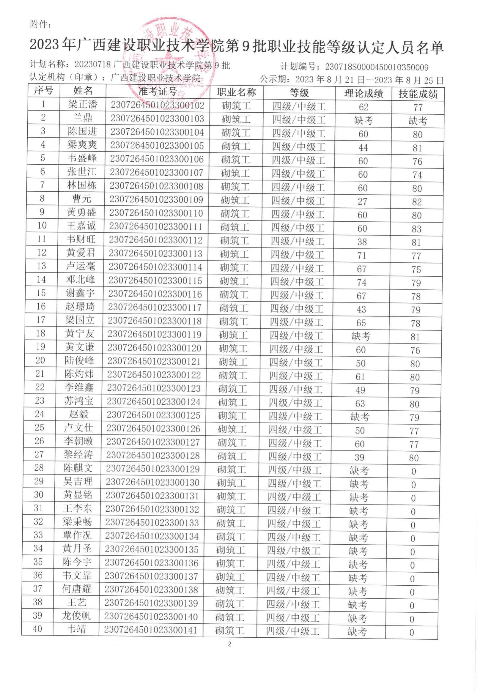
2023年开云线上平台_开云(中国)第9批职业技能等级认定人员成绩公示

发布日期:2023-08-21    点击:


开云线上平台_开云(中国)  版权所有 桂ICP备05014267号

开云线上平台_开云(中国)信息中心  技术支持